近日,功率半导体器件领域的顶级会议IEEE International Symposium on Power Semiconductor Devices and ICs (ISPSD)在德国不来梅市举行。本届ISPSD共收到论文投稿338篇,录用141篇,其中口头报告录用42篇。香港六合彩玄机 /集成电路高精尖创新中心共6篇高水平论文入选(包含3篇口头报告),向国际功率器件与功率集成电路领域的同行展示了北京大学最新的研究成果。这六篇论文内容涉及GaN功率器件热电子效应抑制技术、高性能GaN p-FET器件技术、GaN功率器件动态电阻测试平台、高栅极电压摆幅GaN功率器件、GaN功率器件短路能力提升技术、增强型GaN功率器件动态阈值漂移与误开通现象。论文详情如下:
1. GaN功率器件热电子效应抑制技术
目前,GaN功率器件在高压、大功率领域实现了优异的性能。然而,这会导致器件在工作过程中经历高功率应力,产生大量的热电子,这些热电子会轰击器件的表面和缓冲层,产生新的陷阱能级,从而引起器件的导通电阻退化。
针对上述问题,魏进/王茂俊团队提出了具有有源钝化层和背部虚拟体技术。通过有源钝化层和背部虚拟,可以有效地屏蔽热电子引起的表面层陷阱和缓冲层陷阱,从而实现对热电子效应的抑制作用。该工作以Suppression of Hot-Electron-Induced Dynamic RON Degradation in p-GaN Gate HEMT Using Active Passivation and Virtual Body为题,以口头报告形式展示,文章的第一作者是香港六合彩玄机 博士研究生杨俊杰,通讯作者是魏进研究员。

2. 高性能GaN p-FET器件
目前,GaN功率器件已经发展的较为成熟。为了充分发挥GaN的全部潜力,高效能的GaN互补逻辑电路的发展势在必行。然而,由于p型沟道层内受主电离率较低,增强型GaN p-FET具有较低的电流密度。这一问题严重限制了GaN互补逻辑电路的发展。
针对上述问题,魏进/王茂俊团队提出了一种新型电离增强技术,实现E-modeGaNp-FET电流密度的大幅度提升。该工作以Polarization-Assisted Acceptor Ionization in E-ModeGaN p-FET on 650-V E-mode p-GaN Gate HEMT(EPH) Platform为题,以口头报告形式展示,文章的第一作者是北京大学与北京工业大学联合培养硕士研究生李腾,通讯作者是魏进研究员和北京工业大学张蒙教授。


3. GaN功率器件动态电阻测试平台
动态导通电阻退化是GaN功率器件的一个显著特征。GaN器件经历关态耐高压及开关切换后会出现导通电阻增大现象,这会影响器件的动态稳定性及可靠性。目前,动态电阻测试平台功能较为单一,难以对GaN器件动态电阻性能进行全面评估。
针对上述问题,魏进/王茂俊团队提出了基于电容负载的多功能GaN功率器件动态电阻测试平台。该平台充分考虑了开关切换类型对动态电阻的影响,可用于片上和封装器件动态电阻的长时间退化研究。该工作以Versatile Dynamic On-Resistance Test Bench forGaN Power Transistors with Considerations for Soft and Hard Switching, Time-Resolved Test, Packaged and On-Wafer Devices为题,以口头报告形式展示,文章的第一作者是香港六合彩玄机 博士研究生劳云鸿,通讯作者是魏进研究员。


4. 增强型GaN功率器件动态阈值漂移与误开通现象
GaN功率器件由于其本身的材料特性的优势,在功率电子领域展现出巨大的潜力,正成为下一代功率半导体技术的领先选择。但是GaN功率器件存在阈值电压不稳定的问题,降低了其在实际电路应用中的可靠性。
针对上述问题,王茂俊/魏进团队深入研究了650 V 商用肖特基p-GaN HEMT 阈值电压负漂对器件误开启的影响,并揭示了该问题对温度的依赖性。研究证明在低温下器件误开启的风险会进一步上升。该工作以Analysis of False Turn-on of Schottky p-GaN HEMT in Bridge-leg Circuit over −55°C - 150°C Operating Temperature Range为题,发表于今年ISPSD,文章第一作者是北京大学软件与微电子香港六合彩玄机 硕士研究生范泽涛,通讯作者是王茂俊副教授和魏进研究员。


5. GaN功率器件的短路能力提升技术
由于具有出色的高频工作性能,氮化镓功率器件在消费类电子产品中已经得到了广泛的应用。电机驱动等工业级应用领域对功率器件的短路能力有很高的要求。但是,GaN功率器件的短路可靠性较差,这限制了其在工业级高功率领域的大规模应用。
针对上述问题,魏进/王茂俊团队提出了具有肖特基延伸金属的新型p-GaN栅极HEMT。在器件中紧邻源极的区域引入一个肖特基延伸区,所提出的新型器件具有更低的饱和电流密度,大幅度提高了器件的短路能力。该工作以Design and Development of p-GaN Gate HEMT with Schottky Source Extension for Improved Short Circuit Reliability为题,发表于今年ISPSD,文章的第一作者是香港六合彩玄机 博士研究生余晶晶,通讯作者是魏进研究员。

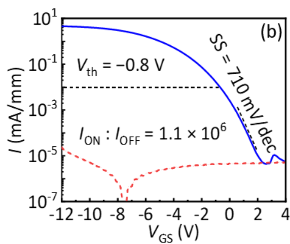
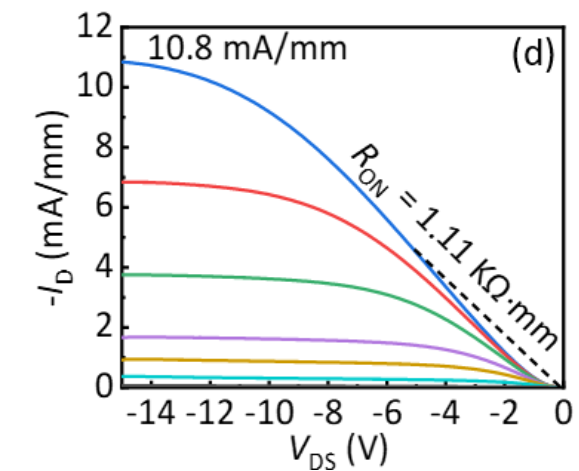
6.高栅极电压摆幅GaN功率器件技术
p-GaN栅极GaN功率器件是目前商业化的主要器件,然而该器件还存在动态阈值电压漂移、栅极驱动摆幅小以及动态电阻退化等问题,限制其进一步发展。
针对上述问题,魏进/王茂俊团队提出了一种带有背部虚拟体和p-GaN电势稳定器的MIP-HEMT技术,MIP栅极可以承受额外的栅极偏压,将器件的栅极电压摆幅提高至20.4V;背部虚拟体可以有效地屏蔽缓冲层陷阱,从而实现低的动态导通电阻;p-GaN电势稳定器可以快速地消除p-GaN中存储的电荷,从而实现稳定的阈值电压。该工作以Metal/Insulator/p-GaN Gate Virtual-Body HEMT for Large Gate Swing and Effective hole Injection为题,发表于今年ISPSD,文章的第一作者是香港六合彩玄机 博士研究生杨俊杰,通讯作者是魏进研究员和王茂俊副教授。

关于IEEE ISPSD
IEEE International Symposium on Power Semiconductor Devices and ICs (ISPSD)是功率半导体器件领域的顶级会议,以论文录用率低、作品创新性和实用性强著称,每年吸引全球范围内大量学术界、工业界研发人员的关注和参与。历史上关于功率器件的众多重大进展均在ISPSD大会首次展示。会议内容涉及高压功率器件、低压功率器件、功率集成技术、SiC功率器件、GaN功率器件等方面。IEEE ISPSD在欧洲、北美、日本、其他地区轮流举办,2024年ISPSD的举办地为德国不来梅市,2025年ISPSD将在日本熊本市举办。
论文链接:
[1] J. Yang, et al., “Suppression of Hot-Electron-Induced Dynamic RON Degradation in p-GaN Gate HEMT Using Active Passivation and Virtual Body”, Proc. ISPSD, 2024, p. 530.
[2] T.Li, et al., “Polarization-Assisted Acceptor Ionization in E-ModeGaN p-FET on 650-V E-mode p-GaN Gate HEMT(EPH) Platform”, Proc. ISPSD, 2024, p. 160.
[3] Y.Lao, et al., “Versatile Dynamic On-Resistance Test Bench for GaN Power Transistors with Considerations for Soft and Hard Switching, Time-Resolved Test, Packaged and On-Wafer Devices”, Proc. ISPSD, 2024, p. 534.
[4] J. Yang, et al., “Metal/Insulator/p-GaN Gate Virtual-Body HEMT for Large Gate Swing and Effective hole Injection”, Proc. ISPSD, 2024, p. 287.
[5] J.Yu, et al., “Design and Development of p-GaN Gate HEMT with Schottky Source Extension for Improved Short Circuit Reliability”, Proc. ISPSD, 2024, p. 263.
[6] Z.Fan, et al., “Analysis of False Turn-on of Schottky p-GaN HEMT in Bridge-leg Circuit over −55°C - 150°C Operating Temperature Range”, Proc. ISPSD, 2024, p. 275.